最終更新日 2014年8月20日

|
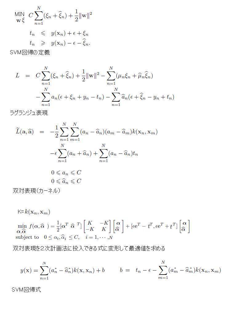
サンプル点がεのチューブに入る様にSVMで回帰します。 εからはみでる点にξのペナルティを与え ペナルティと正則化項が 最小になる様に最適化問題を解きます。 SVMでは特徴空間上に写像するカーネルを使った双対表現に変換し スラックス変数 a の最適解を求めます。 カーネルの双対表現を2次計画法に投入できる様に変形して最適解を求めます。 |

ガウスカーネルのσ=0.1のSVMによる回帰結果

ガウスカーネルのσ=0.005のSVMによる回帰結果

カーネルの幅(σ)が小さいので過学習しています